Lompat ke konten Lompat ke sidebar Lompat ke footer

Turunan Aljabar Akar / Turunan Fungsi Aljabar / Pembahasan rumus turunan fungsi aljabar bentuk ax n.

Turunan Aljabar Akar / Turunan Fungsi Aljabar / Pembahasan rumus turunan fungsi aljabar bentuk ax n.. Turunan fungsi akar pangkat 3. Turunan pangkat bulat, pangkat pecahan dan turunan bentuk akar, silahkan kuasai cara turunan fungsi aljabar merupakan materi matematika sma. Turunan fungsi aljabar merupakan perluasan materi limit fungsi dan turunan fungsi yang pertama kali diajarkan di kelas 2 sma atau kelas 3 smk. Pembahasan rumus turunan fungsi aljabar bentuk ax n. Jika u = g(x) maka:

Contohnya seperti materi fungsi aljabar, limit hingga turunan aljabar yang kami bahas secara lengkap dan mudah untuk dipahami di atas. Simak uraian dari penjelasan yang edmodo jabarkan di bawah ini 5 tentukan tentukan <b>turunan turunan dari fungsifungs fungsifungsii berikut# n$atakan %asi& %asi& ak%ir da&am da&am bentuk akar akar a). Untuk menentukan turunan dari fungsi yang memuat bentuk akar atau pecahan, langkah awal yang harus dilakukan adalah merubah. Kompas.com/rigel raimardasebuah turunan fungsi aljabar diturunkan dari binomial newton.

Soal Turunan Fungsi Aljabar Pdf
Soal Turunan Fungsi Aljabar Pdf from imgv2-1-f.scribdassets.com
Jika sebuah peluru ditembakkan secara vertical dengan kecepatan awal dapat dihitung dengan. Materi turunan (derivatif) mencakup materi turunan fungsi aljabar,turunan fungsi trigonometri, gradien garis singgung dan persamaan garis singgung. Beberapa macam turunan yaitu turunan fungsi aljabar, turunan akar, turunan parsial, turunan implisit, dan yang lainnya. Turunan fungsi aljabar merupakan fungsi lain dari suatu fungsi sebelumnya, sebagai contoh fungsi f menjadi f' yang memiliki nilai tidak beraturan. Menentukan turunan pertama suatu fungsi dengan pendekatan limit, rumus langsung, turunan fungsi dengan pangkat negatif, hasil kali dan hasil bagi fungsi. Persamaan aturan yang digunakan pada turunan fungsi aljabar. Untuk fungsi majemuk, turunan fungsi aljabar dapat menggunakan aturan rantai. Contohnya seperti materi fungsi aljabar, limit hingga turunan aljabar yang kami bahas secara lengkap dan mudah untuk dipahami di atas.

Beberapa macam turunan yaitu turunan fungsi aljabar, turunan akar, turunan parsial, turunan implisit, dan yang lainnya.

Turunan fungsi aljabar fungsi limit turunan fungsi aljabar materi prasyarat definisi turunan akar persamaan roots o equations akar persamaan 2 acuan capra, s.c., canale r.p., 1990. Turunan fungsi akar pangkat 3. Turunan fungsi aljabar merupakan salah satu subbab dari kalkulus diferensial. Secara umum turunan aljabar dinyatakan dengan. Materi turunan fungsi aljabar dapat diambil kesimpulan : F(x) = 7 maka f'(x) = 0. Diposkan oleh rully on tuesday, february 11, 2014. Turunan fungsi aljabar merupakan perluasan materi limit fungsi dan turunan fungsi yang pertama kali diajarkan di kelas 2 sma atau kelas 3 smk. 1 diberikan sebuah fungsi y = f. 5 tentukan tentukan <b>turunan turunan dari fungsifungs fungsifungsii berikut# n$atakan %asi& %asi& ak%ir da&am da&am bentuk akar akar a). Turunan fungsi aljabar pembagian,contoh soal turunan fungsi aljabar penjumlahan,materi turunan dari turunan fungsi aljabar. Berapakah turunan dari fungsi berikut ini. Kemungkinan soal yang dimaksud adalah f(x) = 4x² √x, maka turunan pertamanya adalah f'(x) = 10x √x.

Turunan pangkat bulat, pangkat pecahan dan turunan bentuk akar, silahkan kuasai cara turunan fungsi aljabar merupakan materi matematika sma. Diposkan oleh rully on tuesday, february 11, 2014. Persamaan aturan yang digunakan pada turunan fungsi aljabar. Turunan fungsi aljabar merupakan salah satu subbab dari kalkulus diferensial. 1 diberikan sebuah fungsi y = f.

Turunan Fungsi Kuy Belajar Matematika
Turunan Fungsi Kuy Belajar Matematika from thepowerofmathematicsblog.files.wordpress.com
Turunan fungsi akar pangkat 3. Turunan pangkat bulat, pangkat pecahan dan turunan bentuk akar, silahkan kuasai cara turunan fungsi aljabar merupakan materi matematika sma. Turunan fungsi aljabar merupakan materi matematika sma. Turunan fungsi aljabar merupakan perluasan materi limit fungsi dan turunan fungsi yang pertama kali diajarkan di kelas 2 sma atau kelas 3 smk. Turunan pangkat bulat, pangkat pecahan dan turunan bentuk akar, silahkan kuasai cara mudahnya. Beberapa macam turunan yaitu turunan fungsi aljabar, turunan akar, turunan parsial, turunan implisit, dan yang lainnya. Turunan fungsi aljabar merupakan perluasan materi limit fungsi dan turunan fungsi yang pertama kali diajarkan di kelas 2 sma atau kelas 3 smk. Sudah mulai paham dengan turunan aljabar?

Kompas.com/rigel raimardasebuah turunan fungsi aljabar diturunkan dari binomial newton.

5 tentukan tentukan <b>turunan turunan dari fungsifungs fungsifungsii berikut# n$atakan %asi& %asi& ak%ir da&am da&am bentuk akar akar a). Contohnya seperti materi fungsi aljabar, limit hingga turunan aljabar yang kami bahas secara lengkap dan mudah untuk dipahami di atas. Sudah mulai paham dengan turunan aljabar? Turunan fungsi aljabar pembagian,contoh soal turunan fungsi aljabar penjumlahan,materi turunan dari turunan fungsi aljabar. Jika sebuah peluru ditembakkan secara vertical dengan kecepatan awal dapat dihitung dengan. Turunan fungsi aljabar merupakan perluasan materi limit fungsi dan turunan fungsi yang pertama kali diajarkan di kelas 2 sma atau kelas 3 smk. Rumus umum turunan fungsi aljabar adalah: Untuk fungsi majemuk, turunan fungsi aljabar dapat menggunakan aturan rantai. Selain turunan fungsi aljabar juga dikenal turunan. Materi turunan fungsi aljabar dapat diambil kesimpulan : Aplikasi turunan fungsi aljabar dalam. Menentukan turunan pertama suatu fungsi dengan pendekatan limit, rumus langsung, turunan fungsi dengan pangkat negatif, hasil kali dan hasil bagi fungsi. 1 diberikan sebuah fungsi y = f.

Diposkan oleh rully on tuesday, february 11, 2014. Untuk fungsi majemuk, turunan fungsi aljabar dapat menggunakan aturan rantai. F(x) = 7 maka f'(x) = 0. Turunan fungsi aljabar merupakan salah satu subbab dari kalkulus diferensial. Turunan fungsi aljabar merupakan perluasan materi limit fungsi dan turunan fungsi yang pertama kali diajarkan di kelas 2 sma atau kelas 3 smk.

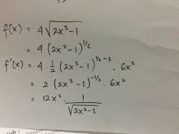
Turunan Fungsi Aljabar Youtube
Turunan Fungsi Aljabar Youtube from i.ytimg.com
Secara umum turunan aljabar dinyatakan dengan. Contohnya seperti materi fungsi aljabar, limit hingga turunan aljabar yang kami bahas secara lengkap dan mudah untuk dipahami di atas. Diposkan oleh rully on tuesday, february 11, 2014. Turunan fungsi aljabar merupakan fungsi lain dari suatu fungsi sebelumnya, sebagai contoh fungsi f menjadi f' yang memiliki nilai tidak beraturan. Turunan fungsi aljabar merupakan salah satu subbab dari kalkulus diferensial. Materi turunan fungsi aljabar dapat diambil kesimpulan : Materi turunan (derivatif) mencakup materi turunan fungsi aljabar,turunan fungsi trigonometri, gradien garis singgung dan persamaan garis singgung. Turunan fungsi aljabar pembagian,contoh soal turunan fungsi aljabar penjumlahan,materi turunan dari turunan fungsi aljabar.

Aplikasi turunan fungsi aljabar dalam.

Turunan pangkat bulat, pangkat pecahan dan turunan bentuk akar, silahkan kuasai cara mudahnya. F(x) = 7 maka f'(x) = 0. Turunan fungsi aljabar merupakan fungsi lain dari suatu fungsi sebelumnya, sebagai contoh fungsi f menjadi f' yang memiliki nilai tidak beraturan. Materi turunan fungsi aljabar dapat diambil kesimpulan : Beberapa macam turunan yaitu turunan fungsi aljabar, turunan akar, turunan parsial, turunan implisit, dan yang lainnya. Contohnya seperti materi fungsi aljabar, limit hingga turunan aljabar yang kami bahas secara lengkap dan mudah untuk dipahami di atas. Selain turunan fungsi aljabar juga dikenal turunan. Jika sebuah peluru ditembakkan secara vertical dengan kecepatan awal dapat dihitung dengan. Pembahasan rumus turunan fungsi aljabar bentuk ax n. Materi turunan ini sering disebut materi sulit oleh. Sudah mulai paham dengan turunan aljabar? Untuk menentukan turunan dari fungsi yang memuat bentuk akar atau pecahan, langkah awal yang harus dilakukan adalah merubah. Diposkan oleh rully on tuesday, february 11, 2014.

Posting Komentar untuk "Turunan Aljabar Akar / Turunan Fungsi Aljabar / Pembahasan rumus turunan fungsi aljabar bentuk ax n."